Bridgerton lovers will adore this stunning collection of CASETiFY accessories
If Bridgerton has your heart in a chokehold, this CASETiFY collection of accessories will put a gigantic smile on your face and a dent in your wallet.
Real estate market trends and analysis
If Bridgerton has your heart in a chokehold, this CASETiFY collection of accessories will put a gigantic smile on your face and a dent in your wallet.
Threat actors are still having success tricking human resources staff into opening malware-infected phishing emails. The latest example is detailed by...
A report claims Samsung has started testing batteries with huge capacities, which could arrive on future Galaxy phones and devices.
Google Messages is rolling out a Trash folder that keeps deleted chats for 30 days, giving users a simple way to recover conversations.
“You pervert, I recorded you!” sextortion emails include real passwords harvested from public temporary email inboxes.
Pixel's new Transit mode automates settings, filters notifications, and shows live updates to make daily commutes easier.
Microsoft patched 79 security vulnerabilities this month, including bugs that could let attackers escalate privileges or crash critical services.
AI is being leveraged across organizations to boost productivity, accelerate innovation and optimize business processes. The problem is that adoption...
Now entering its eighth year, the CSO Hall of Fame spotlights outstanding leaders who have significantly contributed to the practice of information ri...
Samsung is trying to get the Galaxy S26 patch schedule on track.
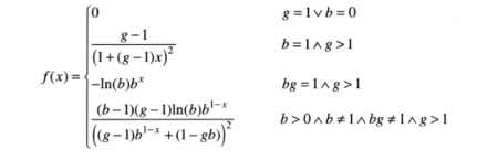
The MBBEFD Distribution After two years, the MBBEFDLite package for R is finally mature! As a brand-new actuary, in my first job, I had the privilege...
Amazon introduced a new Alexa Plus feature that its Kindle Scribe users can take advantage of.
Toshiba's C350 Series 4K TV, backed by Amazon's Fire TV.
A suspected breach of the FBI’s wiretap network has investigators asking whether a nation-state was involved.
Pixel Watch users reported problems with a couple of features after the March update.
Formula 1 is one of the most compelling areas for data analysis in R because it combines structured results, lap-by-lap timing, pit strategy, and driv...
The Amazfit Active 2 is an affordable device with a sporty, utilitarian look.
The quiz is just bait. The real goal is to win permission to send browser notifications that can later be used for ads, scams, or shady promotions.
The feature helps prevent accidental sends when tapping Smart Replies.
Android has a built-in data transfer feature that's pretty great, and tweaks over the last two years have made it even better.
Are you sure you want to sign out?